国际肿瘤学杂志››2020,Vol. 47››Issue (10): 585-592.doi:10.3760/cma.j.cn371439-20200611-00083

• 论著 •上一篇下一篇

肝癌干细胞外泌体miR-196a增强肝癌细胞对多柔比星的耐药性

宋全1, 丁宁玲2, 许英1, 曹凯悦3, 周素芳4, 赵爱琴4, 潘韵芝1(), 马赛5()

  1. 1苏州大学附属传染病医院药剂科 215131
    2苏州大学附属传染病医院传染科 215131
    3天津市第一中心医院病理科 300100
    4苏州市高新区人民医院妇产科 215129
    5南京医科大学附属苏州医院中心实验室,苏州 215002
  • 收稿日期:2020-06-11修回日期:2020-07-15出版日期:2020-10-08发布日期:2020-11-20
  • 通讯作者:潘韵芝,马赛 E-mail:yunzhipan@126.com;marseillems@outlook.com
  • 基金资助:
    江苏省自然科学基金(BK20180212);苏州市“科教兴卫”青年科技项目(kjxw2018044);第五批姑苏卫生人才培养项目(GSWS2019069)

Exosomal miR-196a derived from liver cancer stem cell enhances liver cancer cells resistance to doxorubicin

Song Quan1, Ding Ningling2, Xu Ying1, Cao Kaiyue3, Zhou Sufang4, Zhao Aiqin4, Pan Yunzhi1(), Ma Sai5()

  1. 1Department of Pharmacy, Affiliated Infectious Hospital of Soochow University, Suzhou 215131, China
    2Department of Infectious Diseases, Affiliated Infectious Hospital of Soochow University, Suzhou 215131, China
    3Department of Pathology, Tianjin First Central Hospital, Tianjin 300100, China
    4Department of Gynaecology and Obstetrics, People's Hospital of Gaoxin District of Suzhou City, Suzhou 215129, China
    5Department of Laboratory, Affiliated Suzhou Hospital of Nanjing Medical University, Suzhou 215002, China
  • Received:2020-06-11Revised:2020-07-15Online:2020-10-08Published:2020-11-20
  • Contact:Pan Yunzhi,Ma Sai E-mail:yunzhipan@126.com;marseillems@outlook.com
  • Supported by:
    Natural Science Foundation of Jiangsu Province of China(BK20180212);Suzhou “Invigorating Health Through Science and Education” Youth Science and Technology Project(kjxw2018044);Fifth Suzhou Health Talent Training Project(GSWS2019069)

摘要:

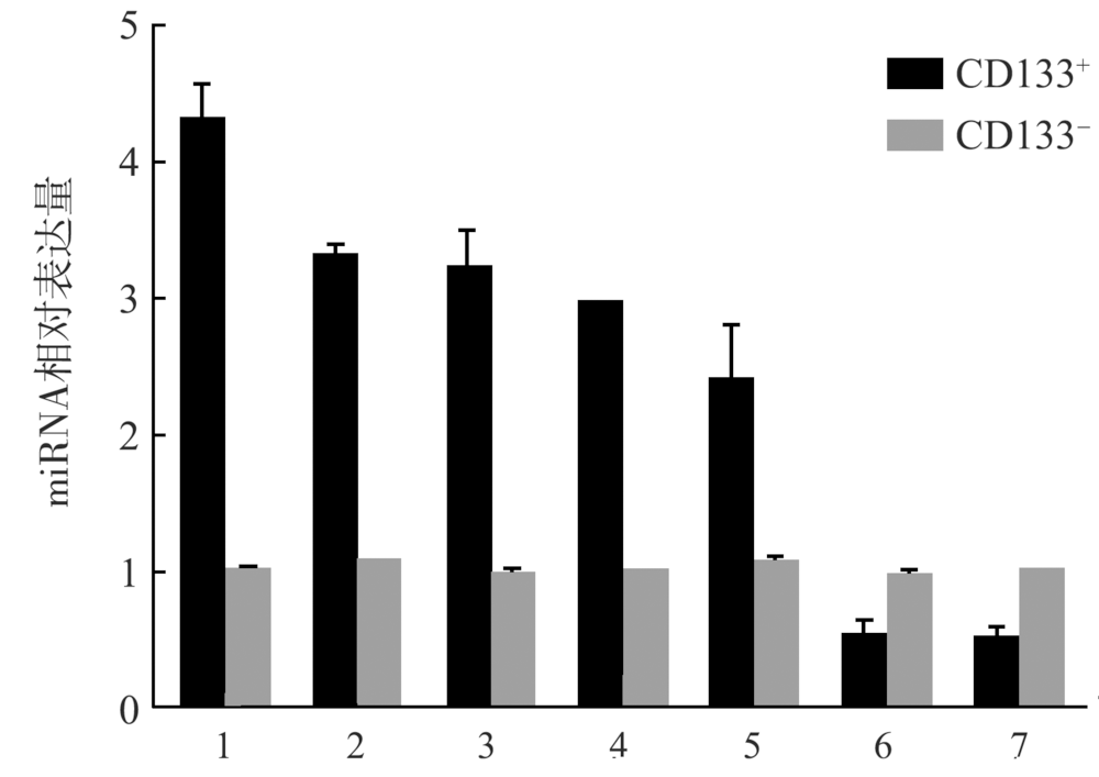
目的筛选肝癌干细胞来源外泌体中差异表达的miRNA并分析其对肝癌细胞恶性生物学特征的影响。方法采用miRNA表达谱芯片分析肝癌干细胞来源外泌体中差异表达的miRNA并鉴定miRNA对肝癌干细胞恶性表型的作用。采用不同浓度(0、150、300 μmol/L)多柔比星处理细胞,采用实时定量PCR(qRT-PCR)检测miR-196a表达水平的变化;分别采用肝癌干细胞来源外泌体(Exo-NC组)、转染miR-196a抑制剂处理后的外泌体(Exo-Inhibitor组)培养肝癌细胞,检测肝癌细胞的凋亡情况以及caspase3/7的活性。按照随机数字表法将裸鼠分为Do-PBS组、Do-Exo-Inhibitor组、Do-Exo-NC组,每组各5只,采用裸鼠移植瘤实验分析miR-196a对肝癌细胞裸鼠移植瘤模型的作用。结果本研究分离纯化了CD133+Huh7干细胞培养上清中的外泌体,发现miR-7162-3p、miR-1910-5p、miR-3613-3p、miR-196a、miR-155-5p表达上调,miR-1246和miR-3613-5p表达下调。外泌体中miR-7162-3p、miR-196a和miR-155-5p对肝癌干细胞的自我更新能力具有重要影响;miR-1910-5p、miR-196a和miR-155-5p对肝癌干细胞的侵袭能力具有重要影响,其中miR-196a的抑制效果最显著。在反应24 h时,多柔比星浓度在0、150、300 μmol/L时miR-196a的表达量分别为0.96±0.05、1.23±0.05和2.33±0.03,差异具有统计学意义(F=996.90,P<0.001);48 h时,多柔比星浓度在0、150、300 μmol/L时miR-196a的表达量分别为1.02±0.07、2.35±0.05和2.89±0.55,差异具有统计学意义(F=303.00,P<0.001)。Exo-NC组肝癌细胞在多柔比星浓度为0和300 μmol/L时的细胞凋亡率分别为9.37%±0.19%和11.64%±0.27%,Exo-Inhibitor组分别为18.80%±1.91%和22.79%±1.57%,差异均具有统计学意义(t=4.41,P=0.048;t=4.96,P=0.038)。未使用多柔比星处理时,Exo-NC组在24 h和48 h的caspase3/7比值分别为0.94±0.08和0.97±0.09,Exo-Inhibitor组分别为1.56±0.01和1.58±0.01,差异均具有统计学意义(t=11.41,P=0.008;t=6.07,P=0.026)。使用300 μmol/L多柔比星处理细胞后,Exo-NC组在24 h和48 h的caspase3/7比值分别为0.95±0.07、1.36±0.08,Exo-Inhibitor组分别为2.84±0.08、3.20±0.14,差异均具有统计学意义(t=24.20,P=0.002;t=15.78,P=0.004)。Do-PBS组、Do-Exo-Inhibitor组和Do-Exo-NC组3组裸鼠的移植瘤体积依次增大,分别为(1 051.86±89.90)mm3、(1 310.91±86.66)mm3和(2 185.14±352.34)mm3,差异具有统计学意义(F=30.28,P<0.001);3组移植瘤重量依次增加,分别为(0.36±0.10)g、(0.39±0.12)g和(0.76±0.16)g,差异具有统计学意义(F=11.81,P=0.002);转染miR-196a抑制剂后裸鼠移植瘤肿瘤内miR-196a的表达显著降低,3组表达量分别为1.05±0.16、0.38±0.08和2.17±0.26,差异具有统计学意义(F=48.93,P<0.001)。结论肝癌干细胞分泌的外泌体可通过其中的miR-196a增强肝癌细胞对多柔比星的耐药性。

关键词:肝肿瘤,干细胞,外泌体,miR-196a,耐药

Abstract:

ObjectiveTo screen the differentially expressed exosomal miRNAs derived from liver cancer stem cells (LCSCs) and its effect on the malignant biological characteristics of liver cancer cells.MethodsmiRNA expression profile chip was used to analyze the differentially expressed exosomal miRNA derived from LCSCs. The effects of miRNA on malignant phenotypes of LCSCs were identified. The cells were further treated with doxorubicin at different concentrations (0, 150, 300 μmol/L), and the expression level of miR-196a was detected by quantitative real-time PCR (qRT-PCR). The apoptosis of liver cancer cells cultured by exosomes derived from LCSCs (Exo-NC group) and exosomes derived from miR-196a inhibited LCSCs (Exo-Inhibitor group) and the activity of caspase3/7 under the action of exosomes from LCSCs were detected. Nude mice were randomly divided into Do-PBS group, Do-Exo-Inhibitor group and Do-Exo-NC group using random number table method, with 5 mice in each group, and the effect of miR-196a on nude mice xenograft tumor model with liver cancer cells was analyzed.ResultsIn this study, exosomes were isolated and purified from CD133+Huh7 stem cell culture supernatant. miR-7162-3p, miR-1910-5, miR-3613-3p, miR-196a and miR-155-5p were up-regulated, while miR-1246 and miR-3613-5p were down-regulated. miR-7162-3p, miR-196a and miR-155-5p in exosomes had important effects on the self-renewal ability of LCSCs. miR-1910-5p, miR-196a and miR-155-5p had important effects on the invasion ability of liver cancer stem cells, among which miR-196a had the most significant inhibitory effect. Treatment for 24 h, the miR-196a expression level of the 0, 150 and 300 μmol/L doxorubicin was 0.96±0.05, 1.23±0.05 and 2.33±0.03 respectively, with a statistically significant difference (F=996.90,P<0.001). Treatment for 48 h, the miR-196a expression level of the 0, 150 and 300 μmol/L doxorubicin were 1.02±0.07, 2.35±0.05 and 2.89±0.55 respectively, with a statistically significant difference (F=303.00,P<0.001). When the concentration of doxorubicin was 0 and 300 μmol/L, the apoptosis rates of the Exo-NC group were 9.37%±0.19% and 11.64%±0.27%, and those of the Exo-Inhibitor group were were 18.80%±1.91% and 22.79%±1.57%, with statistically significant differences (t=4.41,P=0.048;t=4.96,P=0.038). When doxorubicin was not used, the ratios of caspase3/7 in the Exo-NC group at 24 h and 48 h were 0.94±0.08 and 0.97±0.09, and those in the Exo-Inhibitor group were 1.56±0.01 and 1.58±0.01, with statistically significant differences (t=11.41,P=0.008;t=6.07,P=0.026). Under 300 μmol/L doxorubicin, the ratios of caspase3/7 in the Exo-NC group at 24 h and 48 h were 0.95±0.07 and 1.36±0.08, and those in the Exo-Inhibitor group were 2.84±0.08 and 3.20±0.14, with statistically significant differences (t=24.20,P=0.002;t=15.78,P=0.004). The results of xenograft tumor in nude mice showed that the tumor volumes of Do-PBS, Do-Exo-Inhibitor and Do-Exo-NC groups increased successively, which were (1 051.86±89.90) mm3, (1 310.91±86.66) mm3and (2 185.14± 352.34) mm3respectively, with a statistically significant difference (F=30.28,P<0.001). The weights of the transplanted tumors in the 3 groups increased successively, which were (0.36±0.10) g, (0.39±0.12) g and (0.76±0.16) g respectively, with a statistically significant difference (F=11.81,P=0.002). The expression of miR-196a in tumors was significantly decreased after miR-196a inhibitor transfection. The expression levels of the 3 groups were 1.05±0.16, 0.38±0.08 and 2.17±0.26, with a statistically significant difference (F=48.93,P<0.001).ConclusionThe exosomal secreted by LCSCs can enhance the resistance of liver cancer cells to doxorubicin by miR-196a.

Key words:Liver neoplasms,Stem cells,Exosomes,miR-196a,Drug resistance

Baidu
map