国际肿瘤学杂志 ›› 2024, Vol. 51 ›› Issue (2): 73-82.doi: 10.3760/cma.j.cn371439-20231008-00010

• 论著 • 上一篇    下一篇

血清胆碱酯酶与炎症标志物在ⅠA~ⅢA期乳腺癌预后中的作用

陈波光1, 王苏贵2, 张永杰1()   

  1. 1徐州医科大学附属淮安医院肿瘤内科,淮安 223002
    2徐州医科大学附属淮安医院泌尿外科,淮安 223002
  • 收稿日期:2023-10-08 修回日期:2023-12-15 出版日期:2024-02-08 发布日期:2024-04-03
  • 通讯作者: 张永杰,Email:zhangyj0818@126.com

Role of serum cholinesterase and inflammatory markers in the prognosis of stage ⅠA -ⅢA breast cancer

Chen Boguang1, Wang Sugui2, Zhang Yongjie1()   

  1. 1Department of Medical Oncology,Affiliated Huai' an Hospital of Xuzhou Medical University,Huai'an 223002,China
    2Department of Urology,Affiliated Huai' an Hospital of Xuzhou Medical University,Huai'an 223002,China
  • Received:2023-10-08 Revised:2023-12-15 Online:2024-02-08 Published:2024-04-03
  • Contact: Zhang Yongjie,Email:zhangyj0818@126.com

摘要:

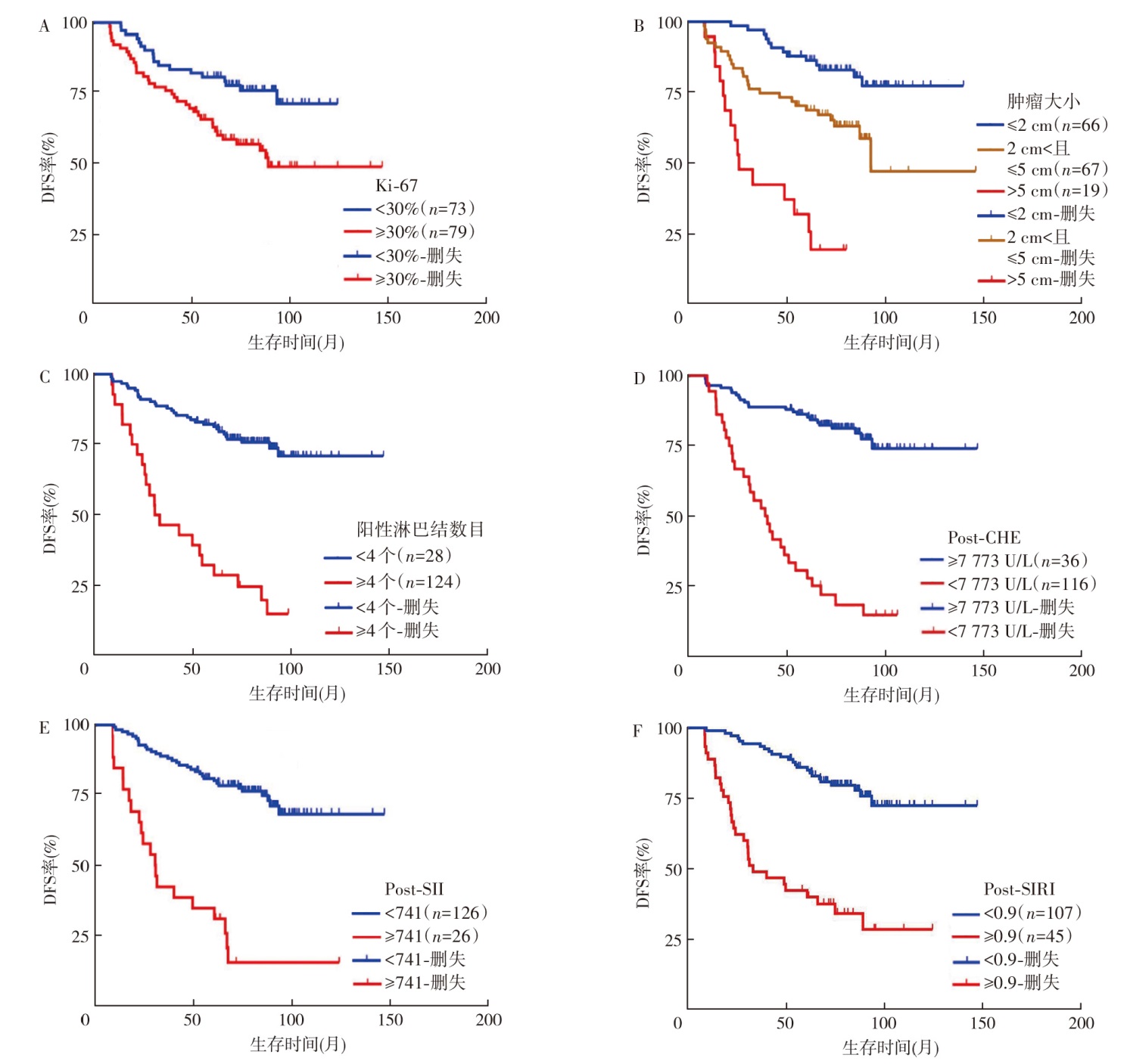
目的 分析接受手术治疗的ⅠA~ⅢA期乳腺癌患者术前、术后血清胆碱酯酶(CHE)水平, 探索其及外周血炎症指标在ⅠA~ⅢA期乳腺癌预后预测中的作用。方法 回顾性研究2012年1月至2017年12月在徐州医科大学附属淮安医院接受手术和术后辅助治疗的152例ⅠA~ⅢA期乳腺癌患者相关血液指标。使用X-tile 3.6.1软件计算血清CHE水平和外周血炎症指标[全身免疫炎症指数(SII)和全身炎症反应指数(SIRI)]的最佳截断值。根据最佳截断值将患者分为低值组和高值组。采用Kaplan-Meier曲线和Cox回归分析评估CHE及外周血炎症指标与无瘤生存期(DFS)的相关性。采用Spearman相关系数和Wilcoxon检验评估治疗前后CHE和炎症指标的相关性和变化。通过R软件构建基于独立预后因素的列线图预测模型, 并用Bootstrap法进行验证。结果 治疗前后患者的CHE水平分别为8 645.0(7 251.3, 10 229.3)、9 309.0(7 801.0, 10 835.3)U/L, 差异有统计学意义(Z=2.73, P=0.006)。与患者DFS相关的术后CHE(Post-CHE)、术后SII(Post-SII)和术后SIRI(Post-SIRI)的最佳截断值分别为7 773 U/L、741和0.9。单因素分析显示, 肿瘤大小(≤2 cm比>2 cm且≤5 cm:HR=2.55, 95%CI为1.30~4.99, P=0.006;≤2 cm比>5 cm:HR=8.95, 95%CI为4.15~19.32, P<0.001)、阳性淋巴结数目(HR=3.84, 95%CI为2.24~6.58, P<0.001)、临床分期(Ⅰ期比Ⅱ期:HR=1.52, 95%CI为0.68~3.39, P=0.309;Ⅰ期比Ⅲ期:HR=8.12, 95%CI为3.76~17.55, P<0.001)、Ki-67表达(HR=2.19, 95%CI为1.24~3.84, P=0.007)、是否放疗(HR=2.05, 95%CI为1.19~3.53, P=0.010)、Post-CHE(HR=6.81, 95%CI为3.94~11.76, P<0.001)、术前中性粒细胞/淋巴细胞比值(Pre-NLR)(HR=1.11, 95%CI为1.02~1.21, P=0.014)、Post-NLR(HR=5.23, 95%CI为2.78~9.85, P<0.001)、Pre-血小板/淋巴细胞比值(PLR)(HR=2.08, 95%CI为1.01~4.26, P=0.046)、Post-PLR(HR=7.11, 95%CI为3.78~13.37, P<0.001)、Pre-淋巴细胞/单核细胞比值(LMR)(HR=0.37, 95%CI为0.20~0.66, P<0.001)、Post-LMR(HR=0.23, 95%CI为0.13~0.41, P<0.001)、Pre-SII(HR=1.81, 95%CI为1.05~3.12, P=0.033)、Post-SII(HR=6.12, 95%CI为3.48~10.76, P<0.001)、Pre-SIRI(HR=2.12, 95%CI为1.24~3.63, P=0.006)、Post-SIRI(HR=4.93, 95%CI为2.87~8.48, P<0.001)与ⅠA~ⅢA期乳腺癌患者DFS相关。多因素分析显示, 肿瘤大小(≤2 cm比>2 cm且≤5 cm:HR=2.86, 95%CI为1.41~5.78, P=0.003;≤2 cm比>5 cm:HR=3.72, 95%CI为1.50~9.26, P=0.005)、阳性淋巴结数目(HR=4.66, 95%CI为2.28~9.54, P<0.001)、Ki-67表达(HR=2.13, 95%CI为1.15~3.94, P=0.016)、Post-CHE(HR=0.18, 95%CI为0.10~0.33, P<0.001)、Post-SII(HR=2.71, 95%CI为1.39~5.29, P=0.004)、Post-SIRI(HR=3.77, 95%CI为1.93~7.36, P<0.001)是ⅠA~ⅢA期乳腺癌患者DFS的独立影响因素。Kaplan-Meier生存曲线分析显示, Ki-67<30%组患者中位DFS未达到, Ki-67≥30%组的中位DFS为89.0个月, 3、5年DFS率分别为84.9 %比75.9%、80.8%比64.3%, 差异具有统计学意义(χ2=7.65, P=0.006);肿瘤大小≤2 cm组患者中位DFS未达到, 2 cm<肿瘤大小≤5 cm组中位DFS为93.5个月, 肿瘤大小>5 cm组中位DFS为26.3个月, 3、5年DFS率分别为95.5 %比74.6%比42.1%、86.3%比68.6%比25.3%, 差异具有统计学意义(χ2=40.46, P<0.001);阳性淋巴结数目<4个组患者中位DFS未达到, 阳性淋巴结数目≥4个组中位DFS为30.7个月, 3、5年DFS率分别为87.9%比46.4%、81.4%比28.6%, 差异具有统计学意义(χ2=47.34, P<0.001);Post-CHE<7 773U/L组患者中位DFS为47.3个月, Post-CHE≥7 773U/L组中位DFS未达到, 3、5年DFS率分别为52.8 %比88.6%、27.8%比81.2%, 差异具有统计学意义(χ2=62.17, P<0.001);Post-SII<741组患者中位DFS未达到, Post-SII≥741组中位DFS为30.5个月, 3、5年DFS率分别为88.1%比38.5%、80.1%比30.8%, 差异具有统计学意义(χ2=50.78, P<0.001);Post-SIRI<0.9组患者中位DFS未达到, Post-SIRI≥0.9组中位DFS为33.3个月, 3、5年DFS率分别为93.5 %比46.7%、84.9%比39.9%, 差异具有统计学意义(χ2=40.67, P<0.001)。Spearman相关性分析发现, Post-CHE与Post-SII无相关性(r=-0.111, P=0.175), Post-CHE与Post-SIRI呈负相关(r=-0.228, P=0.005)。治疗后CHE较术前升高, 且治疗后CHE升高组患者的中位DFS未达到, CHE降低组患者的中位DFS为61.8个月, 差异有统计学意义(χ2=25.67, P<0.001)。基于独立预后因素构建的列线图具有良好的预测性能, 一致性指数为0.893。结论 治疗后患者血清CHE水平显著升高, 术后血清CHE联合SII及SIRI可有效预测ⅠA~ⅢA期乳腺癌患者的DFS, 且治疗后CHE升高患者预后较好, 基于独立预后因素构建的列线图对乳腺癌患者的DFS具有良好的预测性能。

关键词: 乳腺肿瘤, 胆碱酯酶, 全身免疫炎症指数, 全身炎症反应指数, 预后, 列线图

Abstract:

Objective To analyze the preoperative and postoperative serum cholinesterase (CHE)levels in patients with stage ⅠA-ⅢA breast cancer who underwent surgical treatment, and to explore the roles of them and peripheral blood inflammatory markers in the prognostic prediction of stage ⅠA-ⅢA breast cancer. Methods The relevant blood indicators of 152 patients with stage ⅠA-ⅢA breast cancer who underwent surgery and postoperative adjuvant therapy from January 2012 to December 2017 at Affiliated Huai'an Hospital of Xuzhou Medical University were retrospectively studied. The optimal cut-off values of serum CHE levels and peripheral blood inflammatory markers [systemic immune-inflammation index (SII)and systemic inflammatory response index (SIRI)] were calculated using X-tile 3.6.1 software. Patients were categorized into low and high value groups based on the optimal cutoff values. Kaplan-Meier curves and Cox regression analysis were used to assess the correlation between CHE and peripheral blood inflammation indexes and disease-free survival (DFS). Spearman correlation coefficient and Wilcoxon test were used to assess the correlation and changes of CHE and inflammation indexes before and after treatment. In addition to this, a nomogram prediction model was conscturcted based on independent prognostic factors by R software, which was validated by Bootstrap method. Results The CHE levels of patients before and after treatment was 8 645.0 (7 251.3, 10 229.3)and 9 309.0 (7 801.0, 10 835.3)U/L, respectively, with a statistically significant difference (Z=2.73, P=0.006).The optimal cut-off values for postoperative CHE (Post-CHE), postoperative SII (Post-SII), and postoperative SIRI (Post-SIRI)associated with patients' DFS, being 7 773 U/L, 741, and 0.9, respectively. Univariate analysis showed that tumor size (≤2 cm vs.>2 cm and ≤5 cm:HR=2.55, 95%CI:1.30-4.99, P=0.006; ≤2 cm vs. >5 cm:HR=8.95, 95%CI:4.15-19.32, P<0.001), number of positive lymph nodes (HR=3.84, 95%CI:2.24-6.58, P<0.001), clinical stage (stage Ⅰ vs. stage Ⅱ:HR=1.52, 95%CI:0.68-3.39, P=0.309, stage Ⅰ vs. stage Ⅲ:HR=8.12, 95%CI:3.76-17.55, P<0.001), Ki-67 expression (HR=2.19, 95%CI:1.24-3.84, P=0.007), whether radiotherapy (HR=2.05, 95%CI:1.19-3.53, P=0.010), Post-CHE (HR=6.81, 95%CI:3.94-11.76, P<0.001), Pre-neutrophil to lymphocyte ratio (NLR)(HR=1.11, 95%CI:1.02-1.21, P=0.014), Post-NLR (HR=5.23, 95%CI:2.78-9.85, P<0.001), Pre-platelet to lymphocyte ratio (PLR)(HR=2.08, 95%CI:1.01-4.26, P=0.046), Post-PLR (HR=7.11, 95%CI:3.78-13.37, P<0.001), Pre-lymphocyte to monocyte ratio (LMR)(HR=0.37, 95%CI:0.20-0.66, P<0.001), Post-LMR (HR=0.23, 95%CI:0.13-0.41, P<0.001), Pre-SII (HR=1.81, 95%CI:1.05-3.12, P=0.033), Post-SII (HR=6.12, 95%CI:3.48-10.76, P<0.001), Pre-SIRI (HR=2.12, 95%CI:1.24-3.63, P=0.006), and Post-SIRI (HR=4.93, 95%CI:2.87-8.48, P<0.001)were associated with DFS in patients with stage ⅠA-ⅢA breast cancer. Multivariate analysis showed that tumor size (≤2 cm vs. >2 cm and ≤5 cm:HR=2.86, 95%CI:1.41-5.78, P=0.003; ≤2 cm vs. >5 cm:HR=3.72, 95%CI:1.50-9.26, P=0.005), number of positive lymph nodes (HR=4.66, 95%CI:2.28-9.54, P<0.001), Ki-67 expression (HR=2.13, 95%CI:1.15-3.94, P=0.016), Post-CHE (HR=0.18, 95%CI:0.10-0.33, P<0.001), Post-SII (HR=2.71, 95%CI:1.39-5.29, P=0.004), and Post-SIRI (HR=3.77, 95%CI:1.93-7.36, P<0.001)were independent influencing factors for DFS in patients with stage ⅠA-ⅢA breast cancer. Kaplan-Meier survival curve analysis showed that the median DFS of patients in the Ki-67<30% group was not reached, and the median DFS of patients in the Ki-67≥30% group was 89.0 months, and the 3- and 5-year DFS rates were 84.9% vs. 75.9% and 80.8% vs. 64.3%, respectively, with a statistically significant difference (χ2=7.65, P=0.006); the median DFS of patients in the tumor size≤2 cm group was not reached, the median DFS of the 2 cm<tumor size≤5 cm group was 93.5 months, and the median DFS of the tumor size>5 cm group was 26.3 months, and the 3- and 5-year DFS rates were 95.5% vs. 74.6% vs. 42.1%, 86.3% vs. 68.6% vs. 25.3%, with a statistically significant difference (χ2=40.46, P<0.001); the median DFS of patients in the group with the number of positive lymph nodes<4 was not reached, and the median DFS of the group with the number of positive lymph nodes≥4 was 30.7 months, and the 3- and 5-year DFS rates were 87.9% vs. 46.4% and 81.4% vs. 28.6%, respectively, with a statistically significant difference (χ2= 47.34, P<0.001); the median DFS of patients in the Post-CHE<7 773 U/L group was 47.3 months, and the median DFS of patients in the Post-CHE≥7 773 U/L group was not reached, and the 3- and 5-year DFS rates were 52.8 % vs. 88.6% and 27.8% vs. 81.2%, respectively, with a statistically significant difference (χ2=62.17, P<0.001); the median DFS was not achieved in patients in the Post-SII<741 group, and the median DFS was 30.5 months in the Post-SII≥741 group, with 3- and 5-year DFS rates of 88.1% vs. 38.5% and 80.1% vs. 30.8%, respectively, with a statistically significant difference (χ2=50.78, P<0.001); the median DFS of patients in Post-SIRI<0.9 group was not reached, the median DFS of Post-SIRI≥0.9 group was 33.3 months, and the 3- and 5-year DFS rates were 93.5% vs. 46.7% and 84.9% vs. 39.9%, respectively, with a statistically significant difference (χ2=40.67, P<0.001). Spearman correlation analysis revealed that Post-CHE was not correlated with Post-SII (r=-0.111, P=0.175), and Post-CHE was negatively correlated with Post-SIRI (r=-0.228, P=0.005). Post-treatment CHE was elevated compared to preoperative and the median DFS was not reached in patients with elevated CHE group and 61.8 months in patients with reduced CHE group after treatment, with a statistically significant difference (χ2=25.67, P<0.001). The nomogram based on independent prognostic factors had good predictive performance, with a C-index of 0.893. Conclusion The serum CHE level exhibited a significant increase following treatment. Postoperative serum CHE combined with SII and SIRI can effectively predict DFS in patients with stage ⅠA-ⅢA breast cancer, and the prognosis of patients with elevated CHE after treatment is better. The nomogram constructed based on independent prognostic factors has good predictive performance for DFS in breast cancer patients.

Key words: Breast neoplasms, Cholinesterase, Systemic immune-inflammatory index, Systemic inflammatory response index, Prognosis, Nomogram

Baidu
map