


国际肿瘤学杂志››2022,Vol. 49››Issue (9): 537-542.doi:10.3760/cma.j.cn371439-20220506-00104
收稿日期:2022-05-06修回日期:2022-07-05出版日期:2022-09-08发布日期:2022-10-21通讯作者:董轲 E-mail:tdjyk3@fmmu.edu.cn基金资助:
He Ting, Wang Xi, Zhang Huizhong, Liu Xinyang, Wang Huiping, Dong Ke(
)
Received:2022-05-06Revised:2022-07-05Online:2022-09-08Published:2022-10-21Contact:Dong Ke E-mail:tdjyk3@fmmu.edu.cnSupported by:
摘要:
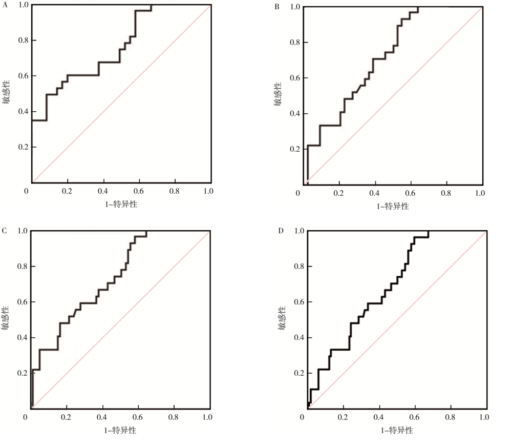
目的分析T细胞免疫球蛋白黏蛋白-3(TIM-3)在肝癌患者血清中的水平变化及其诊断价值。方法选取2021年3月至2021年5月于空军军医大学第二附属医院就诊的37例乙型病毒性肝炎患者(乙型肝炎组)、44例肝硬化患者(肝硬化组)和27例肝癌患者(肝癌组),同期健康体检者35例作为健康对照组。检测血清样本中甲胎蛋白(AFP)、肝功能指标和TIM-3水平,分析组间水平差异。采用Spearman相关分析TIM-3与AFP和肝功能指标之间的相关性。采用受试者工作特征(ROC)曲线分析TIM-3对肝癌的诊断价值。结果AFP在乙型肝炎组、肝硬化组和肝癌组的差异具有统计学意义(χ2=11.75,P=0.003),总胆红素(χ2=22.85,P<0.001)、直接胆红素(χ2=25.90,P<0.001)、间接胆红素(χ2=19.92,P<0.001)、谷丙转氨酶(χ2=36.64,P<0.001)、谷草转氨酶(χ2=26.26,P<0.001)、谷草转氨酶/谷丙转氨酶(χ2=34.67,P<0.001)、总胆汁酸(χ2=13.10,P<0.001)在乙型肝炎组、肝硬化组和肝癌组间差异均具有统计学意义。健康对照组、乙型肝炎组、肝硬化组和肝癌组患者血清TIM-3水平分别为11.1(4.2,14.4) ng/ml、12.7(4.3,23.9)ng/ml、11.4(3.4,17.0)ng/ml、15.7(10.5,21.2)ng/ml,差异有统计学意义(χ2=11.85,P=0.008);肝癌组与健康对照组、肝硬化组差异均有统计学意义(均P<0.05)。Spearman相关性分析显示,4组患者血清TIM-3与AFP均无关(r=0.05,P=0.791;r=0.18,P=0.497;r=0.03,P=0.883;r=0.24,P=0.396);健康对照组血清TIM-3与总蛋白(r=0.36,P=0.036)、乙型肝炎组血清TIM-3与球蛋白(r=0.35,P=0.034)、肝癌组血清TIM-3与总胆汁酸(r=0.46,P=0.017)均有关。ROC曲线结果显示,以健康人群作为对照,血清TIM-3对肝癌的诊断敏感性为48.10%,特异性为91.43%;以健康人群和肝硬化患者合并作为对照,血清TIM-3对肝癌的诊断敏感性为96.30%,特异性为41.77%;以健康人群、乙型肝炎和肝硬化患者合并作为对照,血清TIM-3对肝癌的诊断敏感性为96.30%,特异性为40.52%。结论肝癌患者血清中TIM-3水平显著升高,对肝癌具有一定的诊断价值,可作为肝癌患者诊断标志物和潜在治疗靶点。
和婷, 王希, 张惠中, 刘昕阳, 王会平, 董轲. 血清TIM-3对肝癌患者诊断价值的研究[J]. 国际肿瘤学杂志, 2022, 49(9): 537-542.
He Ting, Wang Xi, Zhang Huizhong, Liu Xinyang, Wang Huiping, Dong Ke. Diagnostic value of serum TIM-3 in patients with liver cancer[J]. Journal of International Oncology, 2022, 49(9): 537-542.
表2
3组患者AFP和肝功能指标水平比较[M(Q1,Q3)]"
| 指标 | 乙型肝炎组(n=37) | 肝硬化组(n=44) | 肝癌组(n=27) | χ2值 | P值 |
|---|---|---|---|---|---|
| AFP(ng/ml) | 15.2(8.6,317.5) | 3.4(2.0,127.6)a | 47.3(16.7,232.0) | 11.75 | 0.003 |
| 总蛋白(g/L) | 62.6(55.2,68.7) | 65.8(56.7,71.9) | 62.3(59.4,68.0) | 0.44 | 0.804 |
| 白蛋白(g/L) | 33.9(30.6,40.4) | 33.6(29.4,43.5) | 32.6(31.1,36.8) | 0.37 | 0.833 |
| 球蛋白(g/L) | 27.2(23.5,32.0) | 26.5(22.2,32.6) | 28.7(24.0,35.4) | 1.14 | 0.566 |
| 白蛋白/球蛋白 | 1.3(1.0,1.6) | 1.3(0.9,1.7) | 1.2(1.0,1.6) | 0.69 | 0.709 |
| 总胆红素(μmol/L) | 75.4(23.3,209.0) | 21.9(14.9,36.8)ab | 30.1(23.6,55.8)b | 22.85 | <0.001 |
| 直接胆红素(μmol/L) | 44.4(9.7,110.8) | 8.0(5.3,16.8)ab | 12.3(10.0,26.8)b | 25.90 | <0.001 |
| 间接胆红素(μmol/L) | 32.5(13.7,93.2) | 13.9(9.4,21.2)b | 15.8(13.1,29.0)b | 19.92 | <0.001 |
| 谷丙转氨酶(U/L) | 142.0(62.0,370.0) | 26.0(18.0,41.5)b | 31.0(22.0,51.0)b | 36.64 | <0.001 |
| 谷草转氨酶(U/L) | 109.0(44.5,219.0) | 33.0(26.0,50.0)b | 55.0(37.0,161.0)b | 26.26 | <0.001 |
| 谷草转氨酶/谷丙转氨酶 | 0.7(0.6,1.1) | 1.3(1.0,1.6)ab | 1.6(1.2,3.0)b | 34.67 | <0.001 |
| 总胆汁酸(μmol/L) | 103.9(14.1,353.1) | 14.3(3.2,64.1)ab | 15.9(8.3,87.7)b | 13.10 | <0.001 |
表3
4组患者血清TIM-3水平与AFP、肝功能指标的相关系数"
| 指标 | 健康对照组(n=35) | 乙型肝炎组(n=37) | 肝硬化组(n=44) | 肝癌组(n=27) | |||||||
|---|---|---|---|---|---|---|---|---|---|---|---|
| r值 | P值 | r值 | P值 | r值 | P值 | r值 | P值 | ||||
| AFP | 0.05 | 0.791 | 0.18 | 0.497 | 0.03 | 0.883 | 0.24 | 0.396 | |||
| 总蛋白 | 0.36 | 0.036 | 0.22 | 0.186 | 0.14 | 0.411 | 0.08 | 0.684 | |||
| 白蛋白 | 0.27 | 0.122 | <0.01 | 0.995 | 0.19 | 0.250 | 0.01 | 0.949 | |||
| 球蛋白 | 0.24 | 0.166 | 0.35 | 0.034 | 0.17 | 0.304 | 0.08 | 0.709 | |||
| 白蛋白/球蛋白 | 0.09 | 0.587 | 0.28 | 0.096 | 0.14 | 0.421 | 0.13 | 0.527 | |||
| 总胆红素 | 0.01 | 0.968 | 0.04 | 0.812 | 0.26 | 0.126 | 0.01 | 0.973 | |||
| 直接胆红素 | 0.01 | 0.978 | 0.03 | 0.852 | 0.26 | 0.120 | 0.06 | 0.747 | |||
| 间接胆红素 | 0.01 | 0.945 | 0.05 | 0.771 | 0.22 | 0.182 | 0.05 | 0.817 | |||
| 谷丙转氨酶 | 0.15 | 0.378 | 0.02 | 0.726 | 0.22 | 0.198 | 0.23 | 0.256 | |||
| 谷草转氨酶 | 0.15 | 0.395 | 0.06 | 0.557 | 0.22 | 0.193 | 0.10 | 0.622 | |||
| 谷草转氨酶/谷丙转氨酶 | 0.20 | 0.255 | 0.10 | 0.805 | 0.08 | 0.654 | 0.26 | 0.193 | |||
| 总胆汁酸 | 0.11 | 0.535 | 0.09 | 0.497 | 0.18 | 0.288 | 0.46 | 0.017 | |||
| [1] | McIntire JJ, Umetsu SE, Akbari O, et al. Identification of Tapr (an airway hyperreactivity regulatory locus) and the linked Tim gene family[J]. Nat Immunol, 2001, 2(12): 1109-1116. DOI: 10.1038/ni739. doi:10.1038/ni739pmid:11725301 |
| [2] | Wolf Y, Anderson AC, Kuchroo VK. TIM3 comes of age as an inhibitory receptor[J]. Nat Rev Immunol, 2020, 20(3): 173-185. DOI: 10.1038/s41577-019-0224-6. doi:10.1038/s41577-019-0224-6pmid:31676858 |
| [3] | Monney L, Sabatos CA, Gaglia JL, et al. Th1-specific cell surface protein Tim-3 regulates macrophage activation and severity of an autoimmune disease[J]. Nature, 2002, 415(6871): 536-541. DOI: 10.1038/415536a. doi:10.1038/415536a |
| [4] | Kandel S, Adhikary P, Li G, et al. The TIM3/Gal9 signaling pathway: an emerging target for cancer immunotherapy[J]. Cancer Lett, 2021, 510: 67-78. DOI: 10.1016/j.canlet.2021.04.011. doi:10.1016/j.canlet.2021.04.011pmid:33895262 |
| [5] | Tian T, Li Z. Targeting Tim-3 in cancer with resistance to PD-1/PD-L1 blockade[J]. Front Oncol, 2021, 11: 731175. DOI: 10.3389/fonc.2021.731175. doi:10.3389/fonc.2021.731175 |
| [6] | Nakano M, Ito M, Tanaka R, et al. PD-1+TIM-3+T cells in malignant ascites predict prognosis of gastrointestinal cancer[J]. Cancer Sci, 2018, 109(9): 2986-2992. DOI: 10.1111/cas.13723. doi:10.1111/cas.13723 |
| [7] | Sasidharan Nair V, Toor SM, Taha RZ, et al. DNA methylation and repressive histones in the promoters of PD-1, CTLA-4, TIM-3, LAG-3, TIGIT, PD-L1, and galectin-9 genes in human colorectal cancer[J]. Clin Epigenetics, 2018, 10(1): 104. DOI: 10.1186/s13148-018-0539-3. doi:10.1186/s13148-018-0539-3 |
| [8] | Li H, Wu K, Tao K, et al. Tim-3/galectin-9 signaling pathway mediates T-cell dysfunction and predicts poor prognosis in patients with hepatitis B virus-associated hepatocellular carcinoma[J]. Hepatology, 2012, 56(4): 1342-1351. DOI: 10.1002/hep.25777. doi:10.1002/hep.25777pmid:22505239 |
| [9] | Liu F, Liu Y, Chen Z. Tim-3 expression and its role in hepatocellular carcinoma[J]. J Hematol Oncol, 2018, 11(1): 126. DOI: 10.1186/s13045-018-0667-4. doi:10.1186/s13045-018-0667-4 |
| [10] | Zhuang X, Zhang X, Xia X, et al. Ectopic expression of TIM-3 in lung cancers: a potential independent prognostic factor for patients with NSCLC[J]. Am J Clin Pathol, 2012, 137(6): 978-985. DOI: 10.1309/AJCP9Q6OVLVSHTMY. doi:10.1309/AJCP9Q6OVLVSHTMYpmid:22586058 |
| [11] | Wiener Z, Kohalmi B, Pocza P, et al. TIM-3 is expressed in melanoma cells and is upregulated in TGF-beta stimulated mast cells[J]. J Invest Dermatol, 2007, 127(4): 906-914. DOI: 10.1038/sj.jid.5700616. doi:10.1038/sj.jid.5700616pmid:17096021 |
| [12] | Wei W, Jiang D, Lee HJ, et al. ImmunoPET imaging of TIM-3 in murine melanoma models[J]. Adv Ther (Weinh), 2020, 3(7): 2000018. DOI: 10.1002/adtp.202000018. doi:10.1002/adtp.202000018 |
| [13] | Chiba S, Baghdadi M, Akiba H, et al. Tumor-infiltrating DCs suppress nucleic acid-mediated innate immune responses through interactions between the receptor TIM-3 and the alarmin HMGB1[J]. Nat Immunol, 2012, 13(9): 832-842. DOI: 10.1038/ni.2376. doi:10.1038/ni.2376pmid:22842346 |
| [14] | Shi Z, Lian A, Zhang F. Nuclear factor-κB activation inhibitor attenuates ischemia reperfusion injury and inhibits Hmgb1 expression[J]. Inflamm Res, 2014, 63(11): 919-925. DOI: 10.1007/s00011-014-0765-x. doi:10.1007/s00011-014-0765-xpmid:25209109 |
| [15] | Zhang W, Zhang Y, He Y, et al. Lipopolysaccharide mediates time-dependent macrophage M1/M2 polarization through the Tim-3/Galectin-9 signalling pathway[J]. Exp Cell Res, 2019, 376(2): 124-132. DOI: 10.1016/j.yexcr.2019.02.007. doi:S0014-4827(19)30053-9pmid:30763585 |
| [16] | Mewes C, Alexander T, Büttner B, et al. TIM-3 genetic variants are associated with altered clinical outcome and susceptibility to Gram-positive infections in patients with sepsis[J]. Int J Mol Sci, 2020, 21(21): 8318. DOI: 10.3390/ijms21218318. doi:10.3390/ijms21218318 |
| [17] | Du X, Wu Z, Xu Y, et al. Increased Tim-3 expression alleviates liver injury by regulating macrophage activation in MCD-induced NASH mice[J]. Cell Mol Immunol, 2019, 16(11): 878-886. DOI: 10.1038/s41423-018-0032-0. doi:10.1038/s41423-018-0032-0pmid:29735977 |
| [18] | Rezaei M, Tan J, Zeng C, et al. TIM-3 in leukemia; immune response and beyond[J]. Front Oncol, 2021, 11: 753677. DOI: 10.3389/fonc.2021.753677. doi:10.3389/fonc.2021.753677 |
| [19] | Pang N, Alimu X, Chen R, et al. Activated Galectin-9/Tim3 promotes Treg and suppresses Th1 effector function in chronic lymphocytic leukemia[J]. FASEB J, 2021, 35(7): e21556. DOI: 10.1096/fj.202100013R. doi:10.1096/fj.202100013R |
| [20] | Wu W, Shi Y, Li J, et al. Tim-3 expression on peripheral T cell subsets correlates with disease progression in hepatitis B infection[J]. Virol J, 2011, 8: 113. DOI: 10.1186/1743-422X-8-113. doi:10.1186/1743-422X-8-113pmid:21392402 |
| [21] | 王林萍, 刘宏峰, 苏春霞, 等. 肝细胞癌患者血清Tim-3水平及其与疾病分期的相关性分析[J]. 中国肝脏病杂志(电子版), 2015, 7(4): 39-41. DOI: 10.3969/j.issn.1674-7380.2015.04.012. doi:10.3969/j.issn.1674-7380.2015.04.012 |
| [22] | Li Z, Li N, Zhu Q, et al. Genetic variations of PD1 and TIM3 are differentially and interactively associated with the development of cirrhosis and HCC in patients with chronic HBV infection[J]. Infect Genet Evol, 2013, 14: 240-246. DOI: 10.1016/j.meegid.2012.12.008. doi:10.1016/j.meegid.2012.12.008pmid:23291409 |
| [1] | 陈红健, 张素青.血清miR-24-3p、H2AFX与肝癌患者临床病理特征及术后复发的关系研究[J]. 国际肿瘤学杂志, 2024, 51(6): 344-349. |
| [2] | 彭琴, 蔡玉婷, 王伟.KPNA2在肝癌中的研究进展[J]. 国际肿瘤学杂志, 2024, 51(3): 181-185. |
| [3] | 孙国宝, 杨倩, 庄庆春, 高斌斌, 孙晓刚, 宋伟, 沙丹.结直肠癌肝转移组织病理学生长方式研究进展[J]. 国际肿瘤学杂志, 2024, 51(2): 114-118. |
| [4] | 向玉玲, 谭佳杰, 熊远果, 赵丽蓉, 黎晨, 张洪.脱水淫羊藿素对肝癌细胞增殖、迁移和凋亡的影响[J]. 国际肿瘤学杂志, 2023, 50(9): 513-519. |
| [5] | 李佳璇, 封颖璐.糖皮质激素受体在肝癌细胞生长中的作用机制[J]. 国际肿瘤学杂志, 2023, 50(4): 241-243. |
| [6] | 孙笑可, 杨宇.肝细胞癌基因组及转录组特征与免疫相关性[J]. 国际肿瘤学杂志, 2022, 49(5): 302-306. |
| [7] | 张玉敏, 赵现伟, 何前进, 陈杰能.超声造影联合血清CXCL8、CXCR2在原发性肝癌经导管动脉化疗栓塞术后疗效评估中的价值分析[J]. 国际肿瘤学杂志, 2022, 49(10): 592-596. |
| [8] | 狄伟华, 赵雪梅.DNA损伤修复在肝癌中的研究进展[J]. 国际肿瘤学杂志, 2022, 49(10): 635-638. |
| [9] | 杜佳航, 陈栋, 陈耀庭.三氧化二砷抗肝癌机制及其在肝癌治疗中的研究[J]. 国际肿瘤学杂志, 2021, 48(9): 572-. |
| [10] | 韩保俊.组蛋白乙酰转移酶P300在肝癌组织中的表达及其临床意义[J]. 国际肿瘤学杂志, 2021, 48(7): 415-419. |
| [11] | 张玉元, 李臻, 詹鹏超, 李鑫, 叶书文, 王彩鸿, 刘杨.肝癌标志物研究进展[J]. 国际肿瘤学杂志, 2021, 48(4): 241-245. |
| [12] | 熊琳, 张修云, 张小余, 黎越, 徐细明.IWR-1-endo通过抑制Wnt通路影响肝癌细胞的迁移和增殖[J]. 国际肿瘤学杂志, 2021, 48(12): 711-715. |
| [13] | 刘俊国, 张金卷, 王毅军.ALPPS中肝脏离断技术变异的临床应用进展[J]. 国际肿瘤学杂志, 2020, 47(8): 492-495. |
| [14] | 张伟, 殷海涛, 周冲, 李向阳, 郭林.甲磺酸阿帕替尼联合卡瑞利珠单抗治疗原发性肝癌伴肺转移一例[J]. 国际肿瘤学杂志, 2020, 47(8): 510-512. |
| [15] | 辛瑞强, 宋晓萍, 张帆, 孙莹, 王涛, 孙伟.SUMO调控XBP1介导的内质网应激对肝癌进展的影响机制[J]. 国际肿瘤学杂志, 2020, 47(7): 397-403. |
| 阅读次数 | ||||||
| 全文 |
|
|||||
| 摘要 |
|
|||||