


国际肿瘤学杂志››2024,Vol. 51››Issue (2): 83-88.doi:10.3760/cma.j.cn371439-20230308-00011
收稿日期:2023-03-08修回日期:2023-06-05出版日期:2024-02-08发布日期:2024-04-03通讯作者:吴雪峰,Email:
Li Dan, Li Ruiyao, Li Yinghan, Yu Xiuyan, Wu Xuefeng(
)
Received:2023-03-08Revised:2023-06-05Online:2024-02-08Published:2024-04-03Contact:Wu Xuefeng,Email:
摘要:
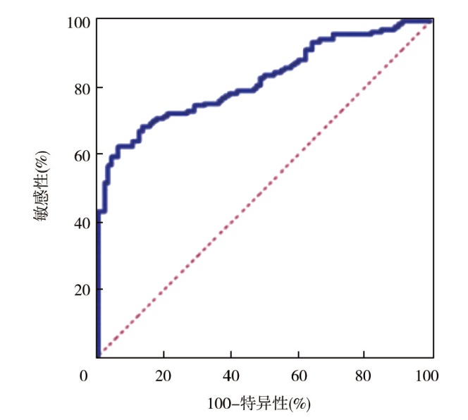
目的研究非小细胞肺癌(NSCLC)患者血清miR-19b、miR-744-5p水平,分析其在NSCLC诊断中的临床价值。方法选择吉林省肿瘤医院2019年8月至2022年8月收治的NSCLC患者226例(NSCLC组)和健康体检者100例(对照组)为研究对象。采用实时荧光定量PCR测定并比较NSCLC组和对照组血清miR-19b、miR-744-5p水平,分析二指标与NSCLC患者不同临床病理特征的关系,采用受试者操作特征曲线分析miR-19b、miR-744-5p和二者联合检测诊断NSCLC的临床价值。结果与对照组比较,NSCLC组血清miR-19b水平显著升高(3.86±1.25比1.06±0.41,t=21.87,P<0.001),miR-744-5p水平显著降低(1.80±0.48比5.75±1.69,t=32.36,P<0.001)。病理类型为腺癌、肿瘤最大径≥3 cm、中低分化、Ⅲ~Ⅳ期、伴有淋巴结转移的NSCLC患者血清miR-19b水平分别高于鳞状细胞癌(t=5.94,P<0.001)、肿瘤最大径<3 cm(t=2.65,P=0.009)、高分化(t=4.33,P<0.001)、Ⅰ~Ⅱ期(t=12.32,P<0.001)、不伴有淋巴结转移患者(t=8.13,P<0.001),而miR-744-5p水平分别低于鳞状细胞癌(t=8.27,P<0.001)、肿瘤最大径<3 cm(t=5.34,P<0.001)、高分化(t=6.95,P<0.001)、Ⅰ~Ⅱ期(t=11.40,P<0.001)、不伴有淋巴结转移患者(t=10.36,P<0.001)。血清miR-19b联合miR-744-5p检测诊断NSCLC的曲线下面积(AUC)为0.914(95%CI为0.841~0.959),敏感性和特异性分别为90.9%和84.0%,AUC显著大于miR-19b(AUC为0.824,95%CI为0.770~0.869)、miR-744-5p(AUC为0.783,95%CI为0.709~0.838)单一指标检测(Z=2.28,P=0.021;Z=2.36,P=0.017)。结论NSCLC患者血清miR-19b水平升高、miR-744-5p水平降低,血清miR-19b、miR-744-5p联合检测在NSCLC诊断中具有较高的临床价值。
李丹, 李睿尧, 李膺函, 于秀艳, 吴雪峰. 血清miR-19b、miR-744-5p水平在非小细胞肺癌诊断中的临床价值[J]. 国际肿瘤学杂志, 2024, 51(2): 83-88.
Li Dan, Li Ruiyao, Li Yinghan, Yu Xiuyan, Wu Xuefeng. Clinical value of serum miR-19b and miR-744-5p levels in the diagnosis of non-small cell lung cancer[J]. Journal of International Oncology, 2024, 51(2): 83-88.
表3
不同临床病理特征NSCLC患者血清miR-19b、miR-744-5p水平比较($\bar{x}±s$)"
| 临床病理特征 | 例数 | miR-19b | t值 | P值 | miR-744-5p | t值 | P值 | ||||
|---|---|---|---|---|---|---|---|---|---|---|---|
| 性别 | |||||||||||
| 男 | 139 | 4.14±1.33 | 1.95 | 0.052 | 5.88±1.76 | 1.40 | 0.163 | ||||
| 女 | 87 | 3.79±1.28 | 5.54±1.80 | ||||||||
| 年龄(岁) | |||||||||||
| ≥60 | 154 | 4.14±1.39 | 1.73 | 0.086 | 5.93±1.79 | 1.90 | 0.059 | ||||
| <60 | 72 | 3.81±1.22 | 5.46±1.61 | ||||||||
| 吸烟 | |||||||||||
| 是 | 57 | 4.11±1.35 | 1.74 | 0.083 | 5.98±1.82 | 1.79 | 0.075 | ||||
| 否 | 169 | 3.76±1.30 | 5.51±1.68 | ||||||||
| 肿瘤位置 | |||||||||||
| 右肺 | 128 | 3.92±1.22 | 0.81 | 0.422 | 5.82±1.67 | 0.88 | 0.381 | ||||
| 左肺 | 98 | 3.79±1.18 | 5.62±1.73 | ||||||||
| 病理类型 | |||||||||||
| 腺癌 | 141 | 4.52±1.34 | 5.94 | <0.001 | 4.82±1.56 | 8.27 | <0.001 | ||||
| 鳞状细胞癌 | 85 | 3.48±1.16 | 6.67±1.74 | ||||||||
| 肿瘤最大径(cm) | |||||||||||
| <3 | 144 | 3.56±1.09 | 2.65 | 0.009 | 6.36±1.62 | 5.34 | <0.001 | ||||
| ≥3 | 82 | 3.98±1.24 | 5.15±1.67 | ||||||||
| 分化程度 | |||||||||||
| 中低分化 | 136 | 4.23±1.35 | 4.33 | <0.001 | 4.98±1.52 | 6.95 | <0.001 | ||||
| 高分化 | 90 | 3.46±1.13 | 6.54±1.73 | ||||||||
| TNM分期 | |||||||||||
| Ⅰ~Ⅱ期 | 155 | 2.83±1.04 | 12.32 | <0.001 | 7.35±2.08 | 11.40 | <0.001 | ||||
| Ⅲ~Ⅳ期 | 71 | 4.96±1.51 | 4.29±1.31 | ||||||||
| 淋巴转移 | |||||||||||
| 有 | 68 | 4.64±1.34 | 8.13 | <0.001 | 4.48±1.33 | 10.36 | <0.001 | ||||
| 无 | 158 | 3.26±1.09 | 7.27±2.04 | ||||||||
| [1] | 吴建辉, 储香玲, 王李强, 等. 中国肺癌患者真实世界免疫检查点抑制剂相关性肺炎的流行病学分析[J].中国癌症杂志,2022,32(6): 469-477. DOI:10.19401/j.cnki.1007-3639.2022.06.001. |
| [2] | Sung H, Ferlay J, Siegel RL, et al. Global cancer statistics 2020: GLOBOCAN estimates of incidence and mortality worldwide for 36 cancers in 185 countries[J].CA Cancer J Clin,2021,71(3): 209-249. DOI:10.3322/caac.21660. |
| [3] | Zhu C, Zhuang W, Chen L, et al. Frontiers of ctDNA, targeted therapies, and immunotherapy in non-small-cell lung cancer[J].Transl Lung Cancer Res,2020,9(1): 111-138. DOI:10.21037/tlcr.2020.01.09. |
| [4] | Bade BC, Dela Cruz CS. Lung cancer 2020: epidemiology, etiology, and prevention[J].Clin Chest Med,2020,41(1): 1-24. DOI:10.1016/j.ccm.2019.10.001. pmid:32008623 |
| [5] | Ali Syeda Z, Langden SSS, Munkhzul C, et al. Regulatory mechanism of microRNA expression in cancer[J].Int J Mol Sci,2020,21(5): 1723. DOI:10.3390/ijms21051723. |
| [6] | 王达, 马异峰, 马尚, 等. 血清miRNA-19b在早期非小细胞肺癌辅助诊断中的临床价值[J].临床肺科杂志,2022,27(8): 1172-1175. DOI:10.3969/j.issn.1009-6663.2022.08.009. |
| [7] | Kleemann M, Schneider H, Unger K, et al. MiR-744-5p inducing cell death by directly targeting HNRNPC and NFIX in ovarian cancer cells[J].Sci Rep,2018,8(1): 9020. DOI:10.1038/s41598-018-27438-6. pmid:29899543 |
| [8] | Ren P, Chang L, Hong X, et al. Long non-coding RNA LINC01116 is activated by EGR1 and facilitates lung adenocarcinoma onco-genicity via targeting miR-744-5p/CDCA4 axis[J].Cancer Cell Int,2021,21(1): 292. DOI:10.1186/s12935-021-01994-w. |
| [9] | 中华医学会, 中华医学会肿瘤学分会, 中华医学会杂志社. 中华医学会肺癌临床诊疗指南(2018版)[J].中华医学杂志,2018,40(12): 935-964. DOI:10.3760/cma.j.issn.0253-3766.2018.12.012. |
| [10] | Weiland M, Gao XH, Zhou L, et al. Small RNAs have a large impact: circulating microRNAs as biomarkers for human diseases[J].RNA Biol,2012,9(6): 850-859. DOI:10.4161/rna.20378. pmid:22699556 |
| [11] | Liu R, Zhang YS, Zhang S, et al. MiR-126-3p suppresses the growth, migration and invasion of NSCLC via targeting CCR1[J].Eur Rev Med Pharmacol Sci,2019,23(2): 679-689. DOI:10.26355/eurrev_201901_16881. |
| [12] | 高冰, 陈骏, 周欢, 等. 肺癌相关微小RNA表达水平及作用机制的研究进展[J].癌症进展,2021,19(3): 226-228. DOI:10.11877/j.issn.1672-1535.2021.19.03.03. |
| [13] | 陈国, 韩鹏黎, 陈柯茹, 等. miR-19b-3p靶向MTUS1调控甲状腺髓样癌细胞凋亡的分子机制[J].中国癌症杂志,2021,31(5): 390-396. DOI:10.19401/j.cnki.1007-3639.2021.05.005. |
| [14] | 王辉, 张潍, 张伟, 等. 非小细胞肺癌中miR-19a和miR-19b的表达及临床意义[J].现代肿瘤医学,2015,23(21): 3078-3081. DOI:10.3969/j.issn.1672-4992.2015.21.009. |
| [15] | Thapa DR, Li X, Jamieson BD, et al. Overexpression of microRNAs from the miR-17-92 paralog clusters in AIDS-related non-Hodgkin's lymphomas[J].PLoS One,2011,6(6): e20781. DOI:10.1371/journal.pone.0020781. |
| [16] | Yu S, Yu H, Zhang Y, et al. Long non-coding RNA LINC01116 acts as an oncogene in prostate cancer cells through regulation of miR-744-5p/UBE2L3 axis[J].Cancer Cell Int,2021,21(1): 168. DOI:10.1186/s12935-021-01843-w. pmid:33726770 |
| [17] | 李少鹏, 张鑫, 张涵, 等. 血清外泌体miR-744-5p在非小细胞肺癌中的表达水平及其临床意义[J].中华检验医学杂志,2020,43(2): 142-146. DOI:10.3760/cma.j.issn.1009-9158.2020.02.008. |
| [18] | 中华人民共和国卫生健康委员会. 原发性肺癌诊疗规范(2018年版)[J].肿瘤综合治疗电子杂志,2019,5(3): 100-120. DOI:10.12151/JMCM.2019.03-16. |
| [19] | 国家癌症中心, 国家肿瘤质控中心肺癌质控专家委员会. 中国原发性肺癌规范诊疗质量控制指标(2022版)[J].中华肿瘤杂志,2022,44(7): 594-599. DOI:10.3760/cma.j.cn112152-20220418-00266. |
| [1] | 钱晓涛, 石子宜, 胡格, 吴晓维.Ⅲ~ⅣA期食管鳞状细胞癌放化疗后行巩固化疗的疗效:一项真实世界临床研究[J]. 国际肿瘤学杂志, 2024, 51(6): 326-331. |
| [2] | 郭泽浩, 张俊旺.PFDN及其亚基在肿瘤发生发展中的作用[J]. 国际肿瘤学杂志, 2024, 51(6): 350-353. |
| [3] | 王丽, 刘志华, 杨伟洪, 蒋凤莲, 李全泳, 宋浩杰, 鞠文东.ROS1突变肺腺鳞癌合并脑梗死为主要表现的Trousseau综合征1例[J]. 国际肿瘤学杂志, 2024, 51(6): 382-384. |
| [4] | 范志鹏, 余静, 胡静, 廖正凯, 徐禹, 欧阳雯, 谢丛华.炎症标志物的变化趋势对一线接受免疫联合化疗的晚期非小细胞肺癌患者预后的预测价值[J]. 国际肿瘤学杂志, 2024, 51(5): 257-266. |
| [5] | 王俊毅, 洪楷彬, 纪荣佳, 陈大朝.癌结节对结直肠癌根治性切除术后肝转移的影响[J]. 国际肿瘤学杂志, 2024, 51(5): 280-285. |
| [6] | 顾芳萌, 徐晨阳, 雷大鹏.人工智能辅助电子喉镜检查在喉癌及喉癌前病变诊治中的研究进展[J]. 国际肿瘤学杂志, 2024, 51(5): 303-307. |
| [7] | 张文馨, 夏泠, 彭晋, 周福祥.甲胎蛋白升高型胃肝样腺癌1例并文献复习[J]. 国际肿瘤学杂志, 2024, 51(5): 312-315. |
| [8] | 王昆, 周中新, 臧其威.血清TGF-β1、VEGF水平对非小细胞肺癌患者单孔胸腔镜根治术后复发的预测价值[J]. 国际肿瘤学杂志, 2024, 51(4): 198-203. |
| [9] | 杨毫, 施贵冬, 张程城, 张跃, 张力文, 付茂勇.信迪利单抗与替雷利珠单抗在进展期食管鳞状细胞癌新辅助治疗中的疗效及安全性对比[J]. 国际肿瘤学杂志, 2024, 51(4): 210-216. |
| [10] | 姚益新, 沈煜霖.血清SOCS3、TXNIP水平对肝细胞癌TACE治疗预后的预测价值[J]. 国际肿瘤学杂志, 2024, 51(4): 217-222. |
| [11] | 胡婷婷, 王越华.电子鼻与线虫鼻——新型早期癌症筛查工具[J]. 国际肿瘤学杂志, 2024, 51(4): 223-226. |
| [12] | 张栋岩, 王品, 魏秋亚, 邓成伍, 魏相相, 高远飞, 王琛.索凡替尼靶向联合卡培他滨和奥沙利铂治疗肝内胆管癌术后患者1例及文献复习[J]. 国际肿瘤学杂志, 2024, 51(4): 249-253. |
| [13] | 严爱婷, 王翠竹, 刘春桂, 鲁小敏.卡瑞利珠单抗与信迪利单抗治疗晚期非小细胞肺癌的临床疗效及安全性分析[J]. 国际肿瘤学杂志, 2024, 51(3): 137-142. |
| [14] | 孙维蔚, 姚学敏, 王鹏健, 王静, 贾敬好.基于血液学指标探讨免疫治疗晚期非小细胞肺癌预后因素及列线图构建[J]. 国际肿瘤学杂志, 2024, 51(3): 143-150. |
| [15] | 钱晓涛, 石子宜, 胡格.Ⅲ~ⅣA期食管鳞状细胞癌根治性放化疗后行免疫检查点抑制剂维持治疗的真实世界临床研究[J]. 国际肿瘤学杂志, 2024, 51(3): 151-156. |
| 阅读次数 | ||||||
| 全文 |
|
|||||
| 摘要 |
|
|||||